Il ministero del Lavoro aumenta le sanzioni in materia di salute e sicurezza sul lavoro

LinkedIn
WhatsApp

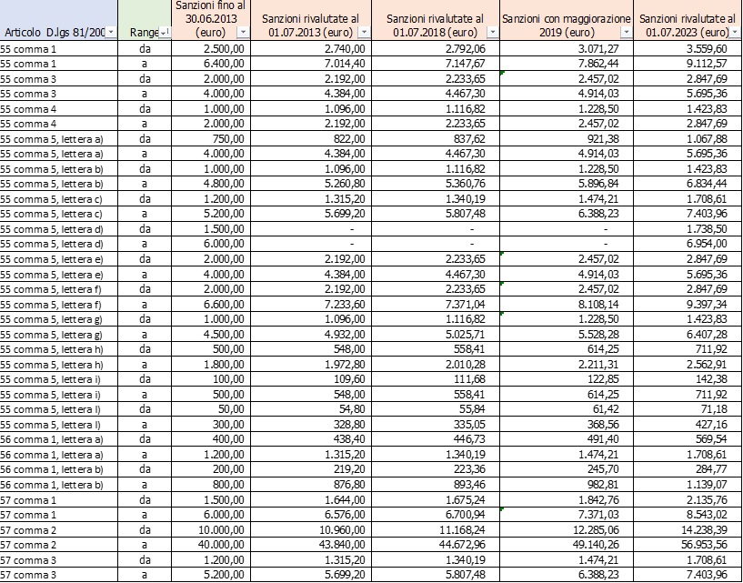
Il ministero del Lavoro e delle Politiche Sociali ha pubblicato il decreto direttoriale 111/2023 con il quale dispone la rivalutazione delle ammende riferite alle contravvenzioni in materia di igiene, salute e sicurezza sul lavoro e delle sanzioni amministrative pecuniarie previste dal decreto legislativo 81/2008.

In particolare, il decreto prevede che le ammende vengano rivalutate, a decorrere dal 1° luglio 2023, con un rialzo del 15,9% rispetto a quelle precedenti introdotte nel 2019 con la circolare n. 2 del 14 gennaio 2019 pubblicata dall’Ispettorato Nazionale del Lavoro.

Fonte: Il Sole 24 Ore

 
Contattaci
close slider

       ACCETTO | Dichiaro di aver preso visione della Privacy e dell'Informativa Cookie (REG EU 679/2016)